El lento crecimiento otoñal y las bajas temperaturas determinan la escasez de forraje de las pasturas naturales, debiendo utilizar alternativas forrajeras de mayor producción.
El lento crecimiento otoñal y las bajas temperaturas invernales determinan una escasez de forraje de las pasturas naturales y convencionales temprano en el otoño e invierno, debiéndose utilizar alternativas forrajeras de mayor producción en estas estaciones para “paliar” estas deficiencias.
Los verdeos de invierno (avena, raigrás, cebada, trigo, triticale) son gramíneas anuales que se caracterizan por producir un volumen muy alto de forraje de buena calidad en un período corto de tiempo, lo que los hace imprescindibles para cubrir las deficiencias normalmente producidas en su estación de crecimiento. Si bien los mismos han cumplido un importante rol a través de los años, su importancia ha aumentado últimamente, dada la mayor intensificación de la ganadería uruguaya y a que las altas temperaturas y deficiencias hídricas estivales han determinado que los mismos sean muchas veces la única alternativa productiva en el otoño.
La principal característica de estos verdeos es que su corto período de utilización determina que se deban amortizar en 1 año, lo que los “hace caros” frente a otras alternativas de mayor duración, determinando que se deban extremar las medidas de manejo si se desean lograr los objetivos planteados.
CONDICIONANTES DE MANEJO DE UN BUEN VERDEO
Los principales factores que determinan el éxito de un verdeo se pueden agrupar de la siguiente forma:
Fecha de siembra:
Es el factor de mayor importancia para lograr una buena producción y utilización de forraje. Su importancia se basa en la dependencia de las plantas forrajeras a los factores climáticos y de la variación de éstos según la época de siembra.
Es conocida la dependencia de los vegetales por adecuadas temperaturas, intensidades de luz y balances hídricos; esto determina que un atraso en la época de siembra provoque menores crecimientos dadas las bajas temperaturas que se dan en invierno, por lo cual el tiempo para lograr una adecuada producción inicial es mayor y se retrasa la entrada de los animales al verdeo.

Además se debe tener en cuenta que en siembras tardías este primer pastoreo se deberá realizar durante el invierno, y por lo tanto habrá problemas de piso y daños por pisoteo si se pastorea (o desperdicios de forraje si no se come).

Por otro lado, existe una reducción en la producción total de forraje al atrasar la época de siembra, (Gráfica 2) y dicha producción se tiende a concentrar temprano en primavera (momento de mejores condiciones climáticas para el crecimiento), determinando que muchas veces el verdeo se pase y utilice en bajas proporciones.
Elección del verdeo:
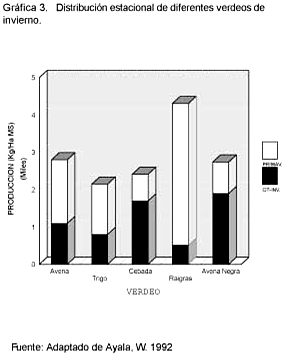
A diferencia de años atrás, en estos momentos existen en el mercado una amplia gama de especies y variedades de gramíneas anuales y si bien las mismas no se diferencian mayormente en su producción total, es marcada su variación en el momento de entrega del forraje (Gráfica 3).

Si bien estos datos corresponden a la zona de Treinta y Tres, se destacan como más precoces la Avena Negra y Cebadas de porte alto y escaso macollaje, seguidos por las Avenas mayormente utilizadas en nuestro país (RLE115, LE1095A y Tucana); en cambio el Raigrás es el que presenta mayor crecimiento invierno-primaveral. Estos comportamientos determinan que si el objetivo es la producción temprana otoñal se deba recurrir a la utilización de Avenas, mientras que si se desea producciones a partir de mediados de invierno se deba utilizar el Raigrás. Los Trigos comúnmente utilizados como doble propósito muestran en general un comportamiento intermedio entre los dos anteriores.
Siembras tardías (a partir de mayo) limitarían la utilización de Avenas ya que en general no permiten expresar su alto potencial de crecimiento otoñal; en estos casos el Trigo puede ser una buena alternativa ya que tiende a igualar los rendimientos de la Avena y permite además mejores chances de utilización doble propósito.
Dentro de las nuevas gramíneas se destacan la Cebadilla, con una excelente producción primaveral y buena calidad de forraje para ser utilizada en suelos fértiles y el Triticale, de excelente perspectivas de futuro dada su buena producción y rusticidad, constituyéndose en la especie capaz de cubrir el déficit de gramíneas anuales que existe para los suelos arenosos y ácidos.
Fertilización:
Este factor es también uno de los fundamentales en la obtención de buenas producciones de forraje, basándose este comportamiento en la limitante general de nuestros suelos en fósforo y nitrógeno y la alta respuesta de las gramíneas comúnmente utilizadas como verdeos.
Sin embargo existe una relación importante entre época de siembra, tipo de verdeo y fertilización, que determinan respuestas diferenciales. Antes de realizar una fertilización, se debe evaluar: la especie a fertilizar; la fecha de siembra y por lo tanto las condiciones climáticas posteriores; el estado fisiológico de la especie; el tiempo entre fertilización-utilización.
El cuadro que aparece a continuación intenta representar a grandes rasgos las diferentes respuestas bajo diferentes situaciones.

Se entiende por respuesta a la fertilización los kg de materia seca adicional que se obtienen por cada kg de nutriente agregado. En el cuadro se refiere a dosis de nitrógeno.
Muy alta respuesta es aquella en la que se obtienen más de 25 kg de materia seca de forraje por cada kg de nitrógeno agregado .
Alta respuesta es la que produce entre 10 y 25 kg de forraje por kg de nitrógeno, y respuesta media se refiere a 5 a 10 kg. de materia seca por kg. de nitrógeno. Este dato es importante para hacer cálculos económicos en momentos de decidir si fertilizar o no.
- En términos generales, se obtiene mayor respuesta fertilizando raigrás que trigo o avena. En siembras tempranas se tienen mayores posibilidades de respuestas elevadas ya que las condiciones para el crecimiento de las plantas son más apropiadas.
- Cuando las plantas encañan se maximiza su crecimiento, por lo que la respuesta al agregado de nitrógeno en ese momento permite la expresión de estas altas acumulaciones de forraje. En cambio, en estado vegetativo, la respuesta es menor y se asocian las mejores al momento del macollaje del verdeo.
- Otro aspecto a tener en cuenta es el tiempo transcurrido entre la fertilización y el pastoreo, ya que en los primeros 15 días se favorece el contenido de proteína de la planta, en cambio en períodos mayores se logra la acumulación de materia seca del verdeo.
La recomendación general es fertilizar en la siembra con binarios que aporten como mínimo unos 20-25 Kg/ha de Nitrógeno y 30-40 Kg/ha de Fósforo y refertilizar con 25-30 Kg/ha de Nitrógeno luego del primer pastoreo (macollaje). Sin embargo la dosis como así también las respuestas dependerán de los datos aportados por el análisis de suelo, el enmalezamiento de la chacra y la forma de distribución del fertilizante.
Manejo del pastoreo:
Si bien existen diferencias de adaptación al pastoreo entre las diferentes especies, se puede decir que en general al ser todas cespitosas y concentrar sus pocas reservas en la base de macollas y primer tercio de hojas, no se deben pastorear con excesiva intensidad ya que se corre el riesgo de pérdidas de plantas.
También se debe tratar de evitar altas acumulaciones de forraje, que generalmente se asocian a mayores proporciones de hojas secas y por lo tanto desperdicio de pasto, y mayores probabilidades de enfermedades de plantas.
La recomendación general es pastoreos rotativos con altas cargas, comenzando los mismos cuando la planta llega a 20 cm. de altura y dejando una altura de rastrojo de por lo menos 5 cm.
Los períodos de descanso varían con la especie y condiciones climáticas, pero en general están cercanos a 50 días para los verdeos tradicionales. Pastoreos con estas características mejoran notablemente la utilización y producción del verdeo ya que evita el sobrepastoreo de pocas plantas y el desperdicio de muchas otras.
Otro aspecto que se debe considerar es que estas gramíneas anuales poseen su mayor capacidad de producción cuando pasan al estado reproductivo (se encañan), aspecto que generalmente no es tenido en cuenta determinando una importante pérdida. El retiro a tiempo de los animales o el retraso en su entrada por un tiempo permite acumular grandes cantidades de forraje que pueden ser: utilizados como reservas; destinado a cosechar granos; o aliviar otras áreas con estos fines. (ver Gráfica 4).

Esta medida de manejo es la que muchas veces puede determinar el buen resultado económico de los verdeos invernales, fundamentalmente de aquellos que se realizan en forma pura.
Mezcla de especies:
El corto período de utilización de los verdeos puros ha determinado que se planteen como alternativas la utilización de mezclas de especies. La más conocida y tal vez la menos utilizada la constituye la Avena-Raigrás, que combinan casi perfectamente la buena distribución otoñal de la primera con el aporte invierno-primaveral del segundo (ver Gráfica 4), aumentando la producción total y con una excelente mejora en la contribución estacional del forraje.
Otra mezcla de excelente comportamiento la constituye la combinación de las dos especies anteriores con Trébol rojo y Achicoria, permitiendo lograr altas producciones por dos años amortizando además el dinero invertido en un período mayor. Estas pasturas bianuales constituyen una de las mejores alternativas de producción para reducir el costo de los verdeos puros (ver Cuadro 2).

CONSIDERACIONES FINALES
El corto período de utilización de los verdeos invernales determina que se deban extremar al máximo las medidas de manejo para obtener un buen resultado económico de los mismos.
La siembra temprana (marzo-mediados de abril) constituye uno de los aspectos manejables más importante en el logro de altas producciones y utilizaciones de forraje, aspecto que se vuelve imprescindible cuando se siembran Avenas.
La fertilización nitrogenada resulta imprescindible en la obtención de altas producciones y si bien es otro de los factores regulables por el productor, la utilización de siembras tempranas permite mayores planificaciones para la misma.
El pastoreo en franjas con períodos adecuados de descanso e intensidades por encima de 5 cm permiten lograr producciones cercanas a los 160 kg de carne/ha en los verdeos tradicionalmente utilizados en el país.
El retiro del pastoreo al comienzo de la encañazón permite acumular grandes volúmenes de forraje o cosechar grano, alternativas que pueden aumentar y diversificar los ingresos del predio.
La utilización de mezclas de especies permiten alargar el período de utilización de estos verdeos, de las cuales la Avena-Raigrás y la combinación de ésta con Trébol rojo y Achicoria son las más recomendables dada su probada productividad.
No hay comentarios:
Publicar un comentario
Nota: solo los miembros de este blog pueden publicar comentarios.